Multi-Stage Optimal Experimental Design and Setup Strategies in Absence of System Pre-Knowledge

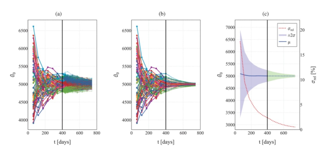
Optimal Experimental Design (OED) aims to maximize information about model parameters with minimal experiments. Methodically, OED is based on the principle of maximizing Fisher information. The calculation of an optimized test plan thereby requires a qualified estimate, i.e. a priori information, about the true value of the parameters to be estimated. This paper introduces a novel Multi-Stage Optimal Experimental Design (MS-OED) framework that integrates Latin Hypercube (LH) sampling and OED for scenarios lacking prior system knowledge. The Virtual Experimental Framework (VEF) evaluates multiple experimental setups, assessing their impact on parameter estimation accuracy. Applied to a simulative lithium ion (Li-ion) battery calendar aging study, our MS-OED framework demonstrates, that reducing the duration of initial LH experiments allows for more effective subsequent OED stages, achieving a 92% reduction in the standard deviation of parameter estimates compared to single-stage design of experiments (DoE). This approach also reduces the experimental duration required to achieve similar confidence levels in parameter estimation to 32% of the time needed by conventional single-stage DoE. Sensitivity analysis further confirms the robustness of the pi-OED approach against uncertainties in initial parameter estimates for the given parametric model. The results highlight the framework’s potential to significantly enhance the efficiency and accuracy of experiments, particularly in applications where prior knowledge is limited.

Click here to read the full paper.