Extended State Observer Based Stator Flux Linkage Estimation of Nonlinear Synchronous Machines

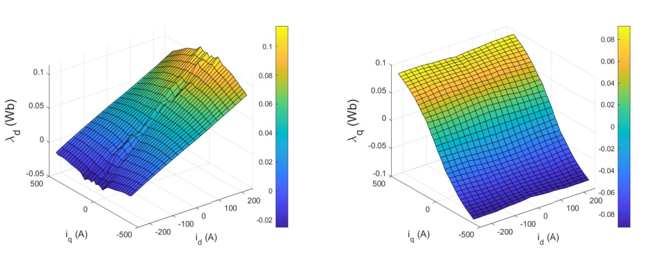
Synchronous machines (SMs) are characterized as nonlinear dynamic systems, with stator flux linkages being critical for controller design. Among the developed methods for flux linkage estimation, the disturbance observer-based flux linkage estimator (DOB-FLE) is recognized as the state-of-theart. However, DOB-FLE faces challenges in ensuring exponential convergence during transient states. To address this, this paper introduces an extended state observer-based flux linkage estimator (ESO-FLE), which represents an advancement over DOB-FLE. This novel approach utilizes extended states to model the nonlinear disturbance term as time-varying ramp signals, offering a contrast to the constant assumption employed in DOB-FLE. It concurrently estimates both the extended states and the flux linkages through an ESO. Simulation results from a 35-kW SM drive demonstrate that ESO-FLE provides superior transient performance under dynamic conditions compared to DOB-FLE.

The full paper can be found here.